Python-如何确定K-Means聚类的簇数
作者:数据人阿多
背景
“人以类聚,物以群分”,在大千世界中总有那么一些人,性格爱好、行为习惯比较相近,我们就会把他们归为一类人,这就是我们人脑自动进行的一个聚类(归类)。 在数据分析中,我们也经常拿数据来进行K-Means聚类,用来进行一些分析,K-Means聚类可能大家都会,但是如何科学的决策聚类簇数,这一直是聚类的一大难题。今天就来分享一下,自己工作中在确定聚类簇数时要到的方法。
方法
可以确定聚类簇数的方法
- Adjusted Rand index 调整兰德系数
- Mutual Information based scores 互信息
- Homogeneity, completeness and V-measure 同质性、完整性、两者的调和平均
- Silhouette Coefficient 轮廓系数
- Calinski-Harabaz Index
- SSE 簇里误差平方和
自己使用的方法,手肘法则SSE 和 轮廓系数 相结合
- SSE 簇里误差平方和
SSE利用计算误方差和,来实现对不同K值的选取后,每个K值对应簇内的点到中心点的距离误差平方和,理论上SSE的值越小,代表聚类效果越好,通过数据测试,SSE的值会逐渐趋向一个最小值。
- Silhouette Coefficient 轮廓系数
好的聚类:内密外疏,同一个聚类内部的样本要足够密集,不同聚类之间样本要足够疏远。
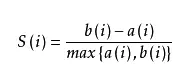
轮廓系数计算规则:
针对样本空间中的一个特定样本,计算它与所在簇中其它样本的平均距离a,以及该样本与距离最近的另一个聚类中所有样本的平均距离b,该样本的轮廓系数为

详细分解
对于其中的一个点 i 来说:
计算 a(i) = average(i向量到所有它属于的簇中其它点的距离)
计算 b(i) = min (i向量到各个非本身所在簇的所有点的平均距离)

然后将整个样本空间中所有样本的轮廓系数取算数平均值,作为聚类划分的性能指标轮廓系数
轮廓系数的区间为:[-1, 1]。 -1代表分类效果差,1代表分类效果好。0代表聚类重叠,没有很好的划分聚类
应用、代码
以鸢尾花数据集为案例
from sklearn import datasets
from sklearn.preprocessing import StandardScaler
from sklearn.cluster import KMeans
import sklearn.metrics as sm
import pandas as pd
%matplotlib inline
import matplotlib.pyplot as plt
#中文乱码的处理 显示负号
plt.rcParams['font.sans-serif']=['Microsoft YaHei']
plt.rcParams['axes.unicode_minus']=False
# 载入鸢尾花数据集
iris = datasets.load_iris()
data=pd.DataFrame(iris['data'],columns=iris['feature_names'])
std = StandardScaler()
data_std=std.fit_transform(data)
SSE = []
k_SSE = []
#簇的数量
for n_clusters in range(1,11):
cls = KMeans(n_clusters).fit(data_std)
score = cls.inertia_
SSE.append(score)
k_SSE.append(n_clusters)
silhouette_score = []
k_sil = []
#簇的数量
for n_clusters in range(2,11):
cls = KMeans(n_clusters).fit(data_std)
pred_y=cls.labels_
#轮廓系数
score =sm.silhouette_score(data_std, pred_y)
silhouette_score.append(score)
k_sil.append(n_clusters)
fig, ax1 = plt.subplots(figsize=(10, 6))
ax1.scatter(k_SSE, SSE)
ax1.plot(k_SSE, SSE)
ax1.set_xlabel("k",fontdict={'fontsize':15})
ax1.set_ylabel("SSE",fontdict={'fontsize':15})
ax1.set_xticks(range(11))
for x,y in zip(k_SSE,SSE):
plt.text(x, y,x)
ax2 = ax1.twinx()
ax2.scatter(k, silhouette_score,marker='^',c='red')
ax2.plot(k, silhouette_score,c='red')
ax2.set_ylabel("silhouette_score",fontdict={'fontsize':15},)
for x,y in zip(k_sil,silhouette_score):
plt.text(x, y,x)
plt.show()
结合SSE与轮廓系数,当k=3时比较适合,可以确定聚类的簇数为3
而鸢尾花数据集里面真实的分类就是3类
iris['target_names']
#array(['setosa', 'versicolor', 'virginica'], dtype='<U10')
历史相关文章
以上是自己实践中遇到的一些问题,分享出来供大家参考学习,欢迎关注微信公众号,不定期分享干货